Skip Navigation
Skip to contents

Restor Dent Endod : Restorative Dentistry & Endodontics

OPEN ACCESS

Articles

Page Path
HOME > Restor Dent Endod > Volume 50(3); 2025 > Article
Research Article Is YouTube a reliable source for learning pre-endodontic build-up? A cross-sectional study
Merve Gökyar,*orcid, İdil Özdenorcid, Hesna Sazak Öveçoğluorcid
Restor Dent Endod 2025;50(3):e27.
DOI: https://doi.org/10.5395/rde.2025.50.e27
Published online: July 24, 2025

Department of Endodontics, Faculty of Dentistry, Marmara University, Istanbul, Türkiye

*Correspondence to Merve Gökyar, DDS Department of Endodontics, Faculty of Dentistry, Marmara University, Recep Tayyip Erdoğan Complex Health Campus, Başıbüyük Yolu 9/3, 34854 Başıbüyük, Maltepe, Istanbul, Türkiye Email: mervegokyar@gmail.com

Citation: Gökyar M, Özden İ, Öveçoğlu HS. Is YouTube a reliable source for learning pre-endodontic build-up? A cross-sectional study. Restor Dent Endod 2025;50(3):e27.

• Received: February 28, 2025   • Revised: March 3, 2025   • Accepted: June 2, 2025

© 2025 The Korean Academy of Conservative Dentistry

This is an Open-Access article distributed under the terms of the Creative Commons Attribution Non-Commercial License (http://creativecommons.org/licenses/by-nc/4.0) which permits unrestricted non-commercial use, distribution, and reproduction in any medium, provided the original work is properly cited.

  • 2,376 Views
  • 76 Download
prev next
  • Objectives
    The aim of this study is to comprehensively analyze the quality, educational value, and demographic characteristics of pre-endodontic build-up videos published on the YouTube platform (Google LLC).
  • Methods
    The study was conducted on YouTube using the keyword “pre-endodontic build-up.” The first 100 videos retrieved from the search results were reviewed, and 61 videos meeting the inclusion criteria were analyzed. After assessing the demographic characteristics of the videos, viewing rates and interaction indices were calculated. The quality of the videos was evaluated using the DISCERN instrument and the Global Quality Scale (GQS). Statistical analyses were performed on the obtained results.
  • Results
    A total of 61 videos were analyzed, of which 56% were uploaded by endodontists. The majority of the videos were found to be of low quality. As the DISCERN score increased, video duration, number of likes, number of comments, and view rate also increased. Additionally, a significant positive correlation was observed between the DISCERN score and the GQS value (p = 0.004). The relationship between video upload sources and various parameters was analyzed, revealing statistically significant differences (p < 0.05).
  • Conclusions
    Considering all the evaluation methods used in this study, it is evident that the number of high-quality videos is low. This finding indicates that YouTube does not provide sufficient information on pre-endodontic build-up. To enhance its reliability as a source of medical information, YouTube should prioritize content that is not only popular but also accurate and of high quality, preferably created or endorsed by professionals.
In endodontic treatments, success rates have significantly improved. As a result, preserving natural dental tissue has become a primary focus. This paradigm shift has contributed to the progressive evolution of pre-endodontic build-up procedures over the past century. These procedures have assumed an increasingly strategic role in dentistry. Their development has paralleled advancements in endodontic techniques and coronal restorative materials. Historically, pre-endodontic build-ups were not sufficiently evaluated for many years. This was despite their potential to prevent tooth fractures, strengthen weakened teeth, and improve treatment predictability. However, since the mid-20th century, these procedures have become more common in clinical practice. Notably, innovative developments in dental materials and adhesive techniques have significantly improved the durability and success of pre-endodontic build-ups [1,2].
A major advantage of pre-endodontic build-ups is the reinforcement of teeth with compromised structural integrity. Teeth requiring endodontic treatment often experience substantial structural loss due to factors such as decay, trauma, or previous restorations. A pre-endodontic build-up enhances the overall mechanical strength of the tooth by reconstructing the coronal region. This is achieved through the use of robust materials, thereby reducing the risk of fracture during or after the root canal treatment [2].
A pre-endodontic build-up restores the coronal structure of the tooth. This restoration improves access and visibility during root canal treatment [3]. As a result, it facilitates more effective cleaning, shaping, and obturation of the canals. When appropriately executed, pre-endodontic build-ups may contribute to improved predictability and treatment outcomes [4]. In cases of advanced structural compromise, pre-endodontic build-ups help prevent tooth extraction and support the preservation of natural dentition. These restorations also preserve masticatory function by maintaining occlusal integrity and interdental stability [5]. When modern aesthetic materials, such as shade-matched composite resins, are used, they can provide satisfactory esthetic outcomes [6].
A pre-endodontic build-up may be considered an essential component of the treatment strategy. It enhances the structural durability of the tooth and reduces the risk of fracture [1,2]. It also acts as a barrier against microorganisms, which reduces the risk of infection [7]. This barrier helps minimize microbial contamination and maintain coronal seal integrity. Together, these effects create an optimal environment for endodontic procedures [8]. As a result, the long-term prognosis of the treated tooth improves. This further supports the overall maintenance of oral health.
When appropriately performed, a pre-endodontic build-up may enhance the seal between the tooth surface and the rubber dam. This facilitates optimal isolation for endodontic procedures. By restoring coronal integrity and providing a stable platform, it allows rubber dam clamps to be securely positioned throughout treatment [8].
This study aims to evaluate the quality and educational value of YouTube (Google LLC, San Bruno, CA, USA) videos on pre-endodontic build-up. The alternative hypothesis is that the majority of these videos are of low educational quality or contain incomplete information.
With the widespread use of the internet and social media, individuals increasingly seek health-related information through online platforms [9]. YouTube, the second most visited website globally, provides easily accessible health-related content. However, it lacks peer-review mechanisms, which raises concerns regarding the reliability and accuracy of its content [1012]. Although previous studies have assessed YouTube videos on various endodontic procedures [1315], no study has systematically evaluated the quality and educational content of videos specifically focusing on pre-endodontic build-up to date. The present study aims to address this gap and represents a valuable addition to the current body of literature.
This descriptive observational study was designed and reported in accordance with the STROBE (Strengthening the Reporting of Observational Studies in Epidemiology) guidelines. Since publicly available online data were used, ethical committee approval was not required.
Search strategy and keyword justification
To determine the most appropriate search term, a preliminary Google Trends analysis (2025, Alphabet Inc., USA) was conducted. Variants such as “pre-endodontic build-up,” “preendo build up,” and “pre endodontic buildup” were tested. Among these, “pre-endodontic build-up” showed the highest relevance and consistency. A supplementary search on YouTube confirmed substantial overlap in results across different phrasings. Therefore, “pre-endodontic build-up” was selected as the primary keyword.
The search was performed on January 22, 2025, on the YouTube platform (www.youtube.com) using Google Chrome™ (Google LLC, Mountain View, CA, USA) in incognito mode, with no user account logged in, in order to avoid algorithmic personalization. No filters or sorting options were manually applied; thus, videos were retrieved according to YouTube’s default “relevance” ranking. To ensure traceability, all video URLs were backed up. As previous studies indicate that over 95% of users do not view results beyond the first five pages, the first 100 videos returned by the search were considered for analysis [16]. No videos featuring patients’ or laypersons’ personal experiences were encountered among the search results. All evaluated videos presented educational or procedural content related to pre-endodontic build-up.
Inclusion and evaluation
Videos that were not directly related to pre-endodontic build-up (n = 20, 20%), videos longer than 15 minutes (n = 3, 3%), duplicate videos (n = 10, 10%), non-English videos (n = 3, 3%), and videos with poor audiovisual quality (n = 3, 3%) were excluded from the study. A total of 61 videos met the inclusion criteria and were evaluated by a single endodontist (MG). Each video was scored using standardized instruments, and scores were systematically recorded. To assess intra-rater reliability, 20% of the videos (n = 12) were randomly selected and re-evaluated by the same endodontist (MG) after a one-week interval. Cohen’s kappa values were calculated to assess intra-rater agreement.
The videos included in the study were evaluated based on the following parameters: video duration (in minutes), the time elapsed between the upload date and the current date (in days), the source of the video upload (endodontist, dentist, dental clinic, information website), number of views, number of comments, and the number of likes and dislikes. Since YouTube has restricted public access to dislike counts since 2021, these data were retrieved using the “Return YouTube Dislike” browser extension. This tool restores visibility based on the YouTube Data API and historical user feedback. Dislike counts were manually recorded during the data collection phase. The interaction index of the videos [(number of likes – number of dislikes) / number of views × 100] and the view rate (number of views/number of days since upload × 100) were calculated [12].
Scoring instruments
Two validated tools were used to assess educational quality and reliability (Table 1):
1. A five-question checklist adapted from the DISCERN instrument, scored as Yes = 1 and No = 0 (maximum score = 5) [17]
2. The Global Quality Scale (GQS), which uses a 5-point Likert scale ranging from 1 (poor) to 5 (excellent) [18]
Statistical analysis
Statistical analyses were performed using IBM SPSS version 30.0 (IBM Corp, Armonk, NY, USA). Normality was evaluated based on skewness and kurtosis values. Since the values were outside the acceptable range (± 1.5), nonparametric tests were applied. Descriptive statistics were presented as medians (range).
To compare continuous variables between groups, nonparametric tests, namely the Kruskal-Wallis H test and Mann-Whitney U test for pairwise comparisons, were employed. Post-hoc analyses were performed using Dunn test with Bonferroni correction to identify significant differences between different groups. In correlation analyses, Spearman rank correlation was used to examine the relationship between continuous variables. Statistical significance was set at p < 0.05.
In accordance with the exclusion criteria, 61 YouTube videos were included in the final analysis. The majority (56%) of the videos were uploaded by endodontists (n = 34), followed by information websites (23%, n = 14), dentists (15%, n = 9), and dental clinics (6%, n = 4). Table 2 presents descriptive statistics including the number of views, video duration (in seconds), number of likes, number of dislikes, number of comments, GQS score, DISCERN score, video timespan (in days), interaction index, and view rate. Data are presented as mean ± standard deviation and median (range). Intra-rater reliability was calculated to assess rating consistency and revealed substantial agreement for both evaluation tools (κ = 0.64 for GQS; κ = 0.63 for the DISCERN checklist).
Regarding overall quality, most of the videos were rated as low quality based on the GQS. Specifically, 16.4% (n = 10) of the videos were assigned a GQS score of 1, and 39.3% (n = 24) received a score of 2. No video received the maximum GQS score of 5, which represents excellent quality and flow (Table 3).
As shown in Table 4, statistically significant differences were observed between video upload sources in terms of several variables (p < 0.05). These included the number of views, video duration, number of likes, number of comments, interaction index, and view rate. Videos uploaded by information websites had the highest median view count and duration. In contrast, videos uploaded by endodontists had the lowest view count but demonstrated the highest interaction index.
Videos with a DISCERN score of 1–3 had significantly more views than those with a score of 0 (p = 0.019). Similarly, as the DISCERN score increased, video duration, number of likes, number of comments, and view rate also increased. This difference was found to be statistically significant (p < 0.05) (Table 5).
When evaluating DISCERN and GQS, dentists, information websites, and dental clinics were grouped together and compared with endodontists. While there was no statistically significant difference between the two groups in terms of GQS (p > 0.05), DISCERN scores were significantly lower for videos uploaded by endodontists (p = 0.002) (Table 6).
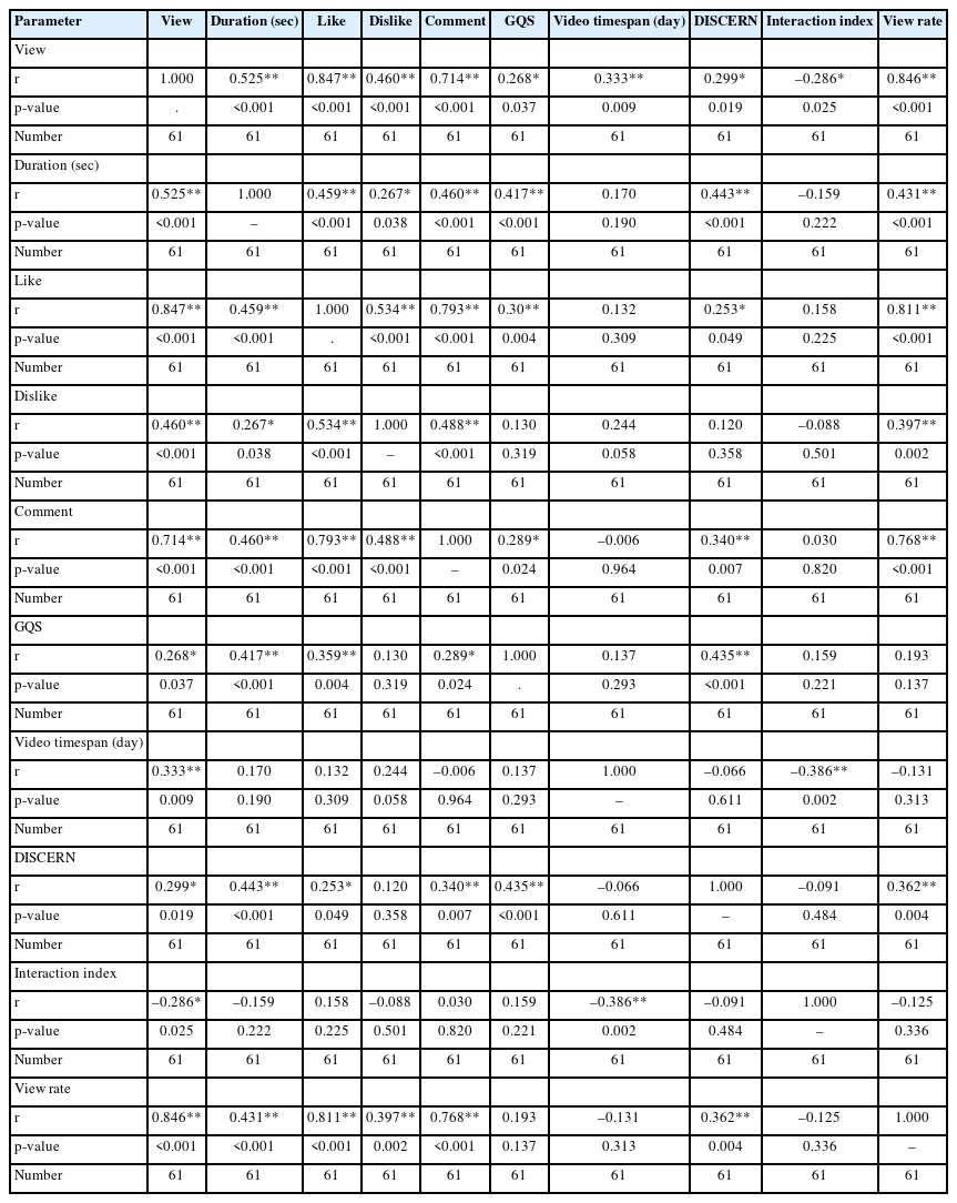
Spearman correlation analysis revealed strong positive correlations between the number of video views and the following variables: video duration (r = 0.525, p < 0.001), number of likes (r = 0.847, p < 0.001), number of comments (r = 0.714, p < 0.001), and view rate (r = 0.846, p < 0.001) (Table 7). These relationships are illustrated in Figure 1, which shows the distribution of videos by the number of views and likes. Each point in the plot represents one video, and a clear trend is observable, indicating that videos with more views tend to receive more likes (r = 0.847). Moreover, the number of likes demonstrated a positive association with the number of comments, as well as with both GQS and DISCERN scores. A statistically significant correlation was also observed between GQS and DISCERN scores (r = 0.435, p < 0.001).
The findings highlight the volume of existing informational content on YouTube regarding pre-endodontic build-up. In endodontic treatment processes, patient cooperation and a high level of knowledge about the procedure are of critical importance. YouTube videos may serve an educational role for both patients and clinical professionals. They can enhance confidence, support knowledge acquisition, and improve procedural understanding [19,20]. YouTube is one of the largest and most widely used video-sharing platforms globally. It offers free access and hosts a vast array of health-related educational content. However, the lack of robust content moderation mechanisms increases the risk of videos containing inaccurate or incomplete information [21]. This creates a paradox in which widely accessed content may not meet the quality standards required for clinical or educational reliability.
A study comparing video-based and traditional learning among first-year dental students found video-based learning significantly more effective [22]. Another study, conducted on 479 dentistry students, examined the effectiveness of YouTube in learning clinical procedures. The findings revealed that 95% of the students perceived the videos as beneficial. However, 36% of the participants expressed concerns regarding the accuracy of the content presented in the videos. Among dentistry students, YouTube is frequently used for learning clinical procedure techniques and for better visualizing and understanding abstract concepts [23]. While some studies highlight the educational value of YouTube, Cuddy [24] argued that many videos may have been uploaded primarily to serve the commercial interests of their creators rather than to provide educational content. This contrast between perceived usefulness and concerns over accuracy underscores the need for critical evaluation of video-based learning tools.
Desai et al. [25] have stated that 95% of individuals conducting online searches examine only the first three pages of search results [25]. This reflects the typical search behavior of internet users. Most people tend to limit their exploration to the first 50 results and do not review additional content [26]. Therefore, in the present study, only the first 100 videos were analyzed. Further examination of additional videos was not pursued, as their contribution was considered likely limited. However, this approach may also limit the inclusion of less visible but potentially higher-quality content that exists beyond the initial search results. The exclusion of videos longer than 15 minutes is based on previous research. These studies suggest that longer videos are less likely to maintain viewers' attention and therefore receive fewer views [16,19]. Additionally, YouTube users spend an average of 40 minutes per day on the platform. Given that audience engagement rates range between 50% and 60%, shorter videos are anticipated to be more effective [27].
Several studies in the literature have observed that the proportion of videos uploaded by dentists exceeds 40% [28,29]. For instance, in a 2023 study on bruxism conducted by Alkan Aygör and Ekrikaya [30], it was found that 78% of the analyzed videos were uploaded by dentists. This phenomenon may be attributed to several factors. These include the subject matter under investigation, the nature of the videos produced, and the inclusion and exclusion criteria applied by researchers. Similarly, in the present study, 43 out of 61 videos were uploaded by healthcare professionals (dentists or endodontists), accounting for 70.4% of the sample. Given the specialized nature of the topic, it is reasonable that a significant proportion of the videos were shared by healthcare professionals. A study by Cokakoglu and Cakir [31] on digital indirect orthodontic bracket bonding, which focused on a professional subject, observed that all the analyzed videos were uploaded by dental companies and dentists. This suggests that the more specialized the topic, the more likely it is that content will be uploaded by professionals. In contrast, Yavuz et al. [32] reported that only 32.5% of the videos they examined on the topic of “orthodontics” were uploaded by dentists. This supports the notion that topic specificity and technical depth may influence the professional composition of video content on YouTube.
Özdal Zincir et al. [33] investigated the impact of videos related to surgical third molar extraction on potential patient education. Similar to the findings of the present study, their research identified a significant relationship between the source of video uploads and the demographic characteristics of the videos. Erturk-Avunduk and Delikan [34] reported that videos uploaded by dentists had higher view rates compared to those uploaded by other sources. These findings indicate that videos shared by healthcare professionals may attract greater interest. However, this observation differs from the results of the current study. According to the present study, videos uploaded by endodontists had the lowest view rates, followed by those uploaded by dentists. It is possible that endodontists, although highly skilled clinically, may prioritize procedural demonstration over patient-oriented explanation. This approach may result in lower performance in categories such as balance, references, or clarity. Nason et al. [19] in their study analyzing YouTube videos on root canal treatment, found that DISCERN scores varied among videos uploaded by clinicians and unknown sources. Meanwhile, content produced by non-clinicians exhibited significantly lower reliability performance. This finding is not consistent with the current study. In our sample, videos uploaded by information websites and dental clinics received higher DISCERN scores compared to those uploaded by dentists and endodontists. This inconsistency may be explained by differences in video selection criteria, language, or evaluation tools used in previous studies. In a study conducted by Meriç [35] on Turkish-language YouTube videos about fissure sealants, no statistically significant relationship was found between the source of video uploads and the usefulness of the videos. Similarly, our findings revealed no significant association between the video source and GQS scores. However, a significant relationship was observed between the video source and DISCERN scores.
Numerous studies have evaluated the quality of information available on YouTube regarding various topics from a patient perspective using the GQS [17,29]. The scoring criteria of this scale are specifically designed to assess information quality from the perspective of patients. Erturk-Avunduk and Delikan [34] concluded that videos uploaded by sources other than dentists and specialists contained less informative content. Among the analyzed English-language videos, 48.2% received a score of 2 on the GQS, classifying them as low quality. In the present study, this rate was found to be 39.3%. Consistent with the findings of Erturk-Avunduk and Delikan [34], none of the analyzed videos received a score of 5 on the GQS index. This may be attributed to several content-related shortcomings. These include a lack of structured content delivery, insufficient explanation of clinical rationale, or limited use of educational visuals—all of which are emphasized in the original GQS framework [18]. These consistent outcomes across different studies may reflect broader challenges in producing pedagogically effective YouTube content, particularly in dental education.
Meriç [35] reported that no statistically significant relationship was found between the number of views, view rate, interaction index, and usefulness score [35]. In contrast, Erturk-Avunduk and Delikan [34] identified a positive correlation between the interaction index and video duration. Yavuz et al. [32] noted that shorter videos had higher view rates. Similarly, the findings of the present study indicate several strong positive correlations. These include associations between the number of video views and video duration, number of likes, number of comments, and view rate. Additionally, Erturk-Avunduk and Delikan [34] identified a negative correlation between the interaction index and the upload date of the videos. This observation contradicts the perspective of Nason et al. [19], who suggested that videos uploaded in earlier periods should have higher view counts. Such inconsistencies may stem from variations in sampling periods, video topics, or evolving viewer behaviors over time.
YouTube search results are ranked not based on the quality or informational accuracy of the videos. Instead, they are determined by relevance to the searched keywords, user engagement, popularity, and previous view counts. This ranking mechanism may facilitate the rapid dissemination of misinformation. Although YouTube encourages users to create content and enforces community guidelines, its business model imposes minimal restrictions on video production. The platform also fosters a highly competitive environment by emphasizing performance metrics such as subscriber count, views, and watch time. However, since this competitive structure does not account for content quality, low-quality videos may achieve high view counts, while high-quality videos may remain under-watched. A study conducted by Qi et al. [36] reported that YouTube videos containing both appropriate and inappropriate content regarding psoriasis had comparable view counts. Similarly, a study by Osman et al. [37] concluded that YouTube is not a reliable source of information on health-related topics.
One limitation of this study is the absence of an established standardization for the analysis of video-based resources. In this context, the researchers conducted a comprehensive literature review to develop a checklist. The videos were then evaluated subjectively, as commonly applied in other studies within the field of dentistry [11,19]. Another limitation is that, despite the global prevalence of root canal treatment, only videos in English were analyzed. Since English is not the primary language in many countries, this constraint may limit the generalizability of the findings. An additional limitation is the time-dependent nature of the results, due to YouTube’s dynamic and continuously evolving platform. Videos are regularly uploaded and removed. As a result, the reproducibility of this study cannot be guaranteed, and the available content will inevitably change over time. Another limitation is that all video assessments were conducted by a single evaluator. Although intra-rater reliability was calculated and found to be substantial, the lack of inter-rater evaluation may limit the generalizability and validity of the findings. Despite these limitations, the study provides insights into the current landscape of online educational content on pre-endodontic build-up. It also highlights the need for more standardized evaluation frameworks.
The present study found that 55.7% of YouTube videos addressing the topic of pre-endodontic build-up were of low educational quality, as reflected by GQS scores of 1 or 2. Furthermore, although endodontists constituted the majority of content uploaders (56%), videos from this group demonstrated significantly lower DISCERN scores than those uploaded by other sources (p = 0.002). These findings indicate a limited presence of high quality, reliable educational content on this specific topic within the YouTube platform. To improve the overall quality and reliability of such content, future content production should be supported by academic collaboration and standardized evaluation criteria.

CONFLICT OF INTEREST

No potential conflict of interest relevant to this article was reported.

FUNDING/SUPPORT

The authors have no financial relationships relevant to this article to disclose.

AUTHOR CONTRIBUTIONS

Conceptualization, Investigation, Methodology, Visualization: Gökyar M. Data curation, Validation: Özden İ. Formal analysis, Project administration, Supervision: Öveçoğlu SH. Writing - original draft: Özden İ. Writing - review & editing: Gökyar M. All authors read and approved the final manuscript.

DATA SHARING STATEMENT

The datasets are not publicly available but are available from the corresponding author upon reasonable request.

Figure 1.
Scatter plot demonstrating the positive correlation between video views and likes.
rde-2025-50-e27f1.jpg
Table 1.
The modified DISCERN score (1 point for every yes, 0 points for no)
Item Questions
1 Are the aims clear and achieved?
2 Are reliable sources of information used? (i.e., publication cited, speaker is specialist in diabetes)
3 Is the information presented both balanced and unbiased?
4 Are additional sources of information listed for patient reference?
5 Are areas of uncertainty mentioned?
Table 2.
Descriptive statistics of video viewership, duration, engagement, and quality parameters
Parameter Mean ± standard deviation Median (range)
View 4,664.41 ± 7,925.93 1,500 (24–38,000)
Duration (sec) 189.46 ± 169.50 136 (30–1,010)
Like 55.90 ± 84.65 18 (0–424)
Dislike 1.79 ± 5.04 0 (0–30)
Comment 4.70 ± 6.57 2 (0–25)
Global Quality Scale 2.43 ± 0.94 2 (1–4)
Video timespan (day) 2,041.30 ± 1,270.92 1,826 (210–4,745)
DISCERN 0.59 ± 0.82 0 (0–3)
Interaction index 1.58 ± 1.19 1.5 (0–8.33)
View rate 265.68 ± 390.59 98.57 (5.75–1,643)
Table 3.
Distribution of videos based on quality levels
Global Quality Scale n (%)
1. Poor quality, poor flow of the video, most information missing, not at all useful for patients 10 (16.4)
2. Poor quality, poor flow of the video, most information missing, not at all useful for patients 24 (39.3)
3. Moderate quality, suboptimal flow, some important information is adequately discussed but others poorly discussed, somewhat useful for patients 18 (29.5)
4. Good quality and generally good flow. Most of the relevant information is listed, but some topics are not covered, useful for patients 9 (14.8)
5. Excellent quality and flow; very useful for patients
Total 61 (100)
Table 4.
Analysis of variables based on the video uploader
Variable Dentist Information websites Endodontist Dental clinic H p-value
View 797 (24–14,000)a 7,254 (810–38,000)b 903.5 (140–6,400)a 7,000 (1,200–28,000)ab 18.219 <0.001*
Duration (sec) 136 (30–557)a 307.50 (78–1,010)b 89 (58–649)a 154 (99–245)ab 19.222 <0.001*
Like 4 (0–424)a 70 (4–239)b 18 (0–100)ab 120.5 (4–262)ab 10.661 0.014*
Dislike 0 (0–3) 0 (0–20) (0–9) (0–30) 2.437 0.487
Comment 1 (0–18)a 7 (0–24)b 1.5 (0–12)a 9.5 (0–25)ab 14.575 0.002*
Video timespan (day) 1,826 (335–4,380) 2557 (365–4,745) 1,826 (210–4,745) 3,832.5 (730–4,745) 7.747 0.052
Interaction index 1.14 (0–8.33)ab 1.02 (0.36–2.59)a 1.63 (0–3.4)b 0.66 (0.2–1.95)ab 8.159 0.043*
View rate 109.17 (5.75–547.51)ab 424.65 (23.18–1,486)a 49.48 (12.78–1,571)b 500.52 (25.28–1,643)ab 9.941 0.019*

Values are presented as median (range).

The superscript letters represent the post-hoc results. Differences between different letters are significant.

Kruskal-Wallis H Test;

*p < 0.05.

Table 5.
Comparison of video characteristics based on DISCERN score
Variable DISCERN
U p-value
0 1–3
View 975 (141–12,000) 3,629.5 (24–38,000) 2.341 0.019*
Duration (sec) 90 (30–1,010) 241 (48–649) 3.326 <0.001*
Like 18 (0–200) 36 (0–424) 1.970 0.049*
Dislike 0 (0–9) 0 (0–30) 1.129 0.259
Comment 1 (0–24) 4.5 (0–25) 2.547 0.011*
Global Quality Scale 2 (1–4) 3 (1–4) 2.896 0.004*
Video timespan (day) 1,826 (730–4,745) 1,826 (210–4,745) 0.438 0.662
Interaction index 1.56 (0–3.4) 1.32 (0–8.33) 1.036 0.300
View rate 45.56 (19.31–780.82) 376.71 (5.75–1,643) 2.888 0.004*

Values are presented as median (range).

Mann-Whitney U test;

*p < 0.05.

Table 6.
Analysis of quality parameters of videos uploaded by endodontists and other groups
Parameter Endodontist Others U p-value
Global Quality Scale 2 (1–4) 3 (1–4) 0.610 0.542
DISCERN 0 (0–3) 1 (0–3) 3.090 0.002*

Values are presented as median (range).

Mann-Whitney U Test;

*p < 0.05.

Table 7.
Correlation analysis between parameters
Parameter View Duration (sec) Like Dislike Comment GQS Video timespan (day) DISCERN Interaction index View rate
View
 r 1.000 0.525** 0.847** 0.460** 0.714** 0.268* 0.333** 0.299* –0.286* 0.846**
p-value <0.001 <0.001 <0.001 <0.001 0.037 0.009 0.019 0.025 <0.001
 Number 61 61 61 61 61 61 61 61 61 61
Duration (sec)
 r 0.525** 1.000 0.459** 0.267* 0.460** 0.417** 0.170 0.443** –0.159 0.431**
p-value <0.001 <0.001 0.038 <0.001 <0.001 0.190 <0.001 0.222 <0.001
 Number 61 61 61 61 61 61 61 61 61 61
Like
 r 0.847** 0.459** 1.000 0.534** 0.793** 0.300** 0.132 0.253* 0.158 0.811**
p-value <0.001 <0.001 <0.001 <0.001 0.004 0.309 0.049 0.225 <0.001
 Number 61 61 61 61 61 61 61 61 61 61
Dislike
 r 0.460** 0.267* 0.534** 1.000 0.488** 0.130 0.244 0.120 –0.088 0.397**
p-value <0.001 0.038 <0.001 <0.001 0.319 0.058 0.358 0.501 0.002
 Number 61 61 61 61 61 61 61 61 61 61
Comment
 r 0.714** 0.460** 0.793** 0.488** 1.000 0.289* –0.006 0.340** 0.030 0.768**
p-value <0.001 <0.001 <0.001 <0.001 0.024 0.964 0.007 0.820 <0.001
 Number 61 61 61 61 61 61 61 61 61 61
GQS
 r 0.268* 0.417** 0.359** 0.130 0.289* 1.000 0.137 0.435** 0.159 0.193
p-value 0.037 <0.001 0.004 0.319 0.024 0.293 <0.001 0.221 0.137
 Number 61 61 61 61 61 61 61 61 61 61
Video timespan (day)
 r 0.333** 0.170 0.132 0.244 –0.006 0.137 1.000 –0.066 –0.386** –0.131
p-value 0.009 0.190 0.309 0.058 0.964 0.293 0.611 0.002 0.313
 Number 61 61 61 61 61 61 61 61 61 61
DISCERN
 r 0.299* 0.443** 0.253* 0.120 0.340** 0.435** –0.066 1.000 –0.091 0.362**
p-value 0.019 <0.001 0.049 0.358 0.007 <0.001 0.611 0.484 0.004
 Number 61 61 61 61 61 61 61 61 61 61
Interaction index
 r –0.286* –0.159 0.158 –0.088 0.030 0.159 –0.386** –0.091 1.000 –0.125
p-value 0.025 0.222 0.225 0.501 0.820 0.221 0.002 0.484 0.336
 Number 61 61 61 61 61 61 61 61 61 61
View rate
 r 0.846** 0.431** 0.811** 0.397** 0.768** 0.193 –0.131 0.362** –0.125 1.000
p-value <0.001 <0.001 <0.001 0.002 <0.001 0.137 0.313 0.004 0.336
 Number 61 61 61 61 61 61 61 61 61 61

*p < 0.05,

**p < 0.01.

  • 1. Gavriil D, Kakka A, Myers P, O Connor CJ. Pre-endodontic restoration of structurally compromised teeth: current concepts. Br Dent J 2021;231:343-349.ArticlePubMedPMCPDF
  • 2. Vikhe DM. Restoration of endodontically treated teeth. In: Moolla A, editor. Clinical concepts and practical management techniques in dentistry. London: IntechOpen; 2021. p. 1-16.
  • 3. Eliyas S, Jalili J, Martin N. Restoration of the root canal treated tooth. Br Dent J 2015;218:53-62.ArticlePubMedPDF
  • 4. Karamifar K, Tondari A, Saghiri MA. Endodontic periapical lesion: an overview on the etiology, diagnosis and current treatment modalities. Eur Endod J 2020;5:54-67.ArticlePubMedPMC
  • 5. Moreira MA, Silveira VR, Alcantara VO, Sousa FB, Sousa BC. Prior restorative procedures to endodontic treatment. Cureus 2023;15:e37106.ArticlePubMedPMC
  • 6. Lopes GC, Vieira LC, Araujo E. Direct composite resin restorations: a review of some clinical procedures to achieve predictable results in posterior teeth. J Esthet Restor Dent 2004;16:19-32.ArticlePubMed
  • 7. Chen G, Sun Q, Xie L, Jiang Z, Feng L, Yu M, et al. Comparison of the odontogenic differentiation potential of dental follicle, dental papilla, and cranial neural crest cells. J Endod 2015;41:1091-1099.ArticlePubMed
  • 8. Nasser A. Rubber dam isolation - when and why to use it? Part 1. BDJ Student 2021;28:40-41.ArticlePMCPDF
  • 9. McMullan M. Patients using the Internet to obtain health information: how this affects the patient-health professional relationship. Patient Educ Couns 2006;63:24-28.ArticlePubMed
  • 10. Smith PE, McGuire J, Falci M, Poudel DR, Kaufman R, Patterson MA, et al. Analysis of YouTube as a source of information for diabetic foot care. J Am Podiatr Med Assoc 2019;109:122-126.ArticlePubMedPDF
  • 11. Hegarty E, Campbell C, Grammatopoulos E, DiBiase AT, Sherriff M, Cobourne MT. YouTube as an information resource for orthognathic surgery. J Orthod 2017;44:90-96.ArticlePubMed
  • 12. Hassona Y, Taimeh D, Marahleh A, Scully C. YouTube as a source of information on mouth (oral) cancer. Oral Dis 2016;22:202-208.ArticlePubMed
  • 13. Kaval ME, Kandemir Demirci G, Atesci AA, Sarsar F, Dindaroğlu F, Güneri P, et al. YouTube as an information source for regenerative endodontic treatment procedures: quality and content analysis. Int J Med Inform 2022;161:104732.ArticlePubMed
  • 14. Kodonas K, Fardi A. YouTube as a source of information about pulpotomy and pulp capping: a cross sectional reliability analysis. Restor Dent Endod 2021;46:e40.ArticlePubMedPMCPDF
  • 15. Özbay Y, Çırakoğlu NY. YouTube as an information source for instrument separation in root canal treatment. Restor Dent Endod 2021;46:e8.ArticlePubMedPMC
  • 16. Lena Y, Dindaroğlu F. Lingual orthodontic treatment: a YouTube video analysis. Angle Orthod 2018;88:208-214.ArticlePubMedPMCPDF
  • 17. Singh AG, Singh S, Singh PP. YouTube for information on rheumatoid arthritis: a wakeup call? J Rheumatol 2012;39:899-903.ArticlePubMed
  • 18. Bernard A, Langille M, Hughes S, Rose C, Leddin D, Veldhuyzen van Zanten S. A systematic review of patient inflammatory bowel disease information resources on the World Wide Web. Am J Gastroenterol 2007;102:2070-2077.ArticlePubMed
  • 19. Nason K, Donnelly A, Duncan HF. YouTube as a patient-information source for root canal treatment. Int Endod J 2016;49:1194-1200.ArticlePubMed
  • 20. Jamleh A, Aljohani SM, Alzamil FF, Aljuhayyim SM, Alsubaei MN, Alali SR, et al. Assessment of the educational value of endodontic access cavity preparation YouTube video as a learning resource for students. PLoS One 2022;17:e0272765.ArticlePubMedPMC
  • 21. Ho A, McGrath C, Mattheos N. Social media patient testimonials in implant dentistry: information or misinformation? Clin Oral Implants Res 2017;28:791-800.ArticlePubMedPDF
  • 22. Kalludi S, Punja D, Rao R, Dhar M. Is video podcast supplementation as a learning aid beneficial to dental students? J Clin Diagn Res 2015;9:CC04-CC07.ArticlePubMed
  • 23. Burns LE, Abbassi E, Qian X, Mecham A, Simeteys P, Mays KA. YouTube use among dental students for learning clinical procedures: a multi-institutional study. J Dent Educ 2020;84:1151-1158.ArticlePubMedPDF
  • 24. Cuddy C. Mobile video for education and instruction. J Electron Resour Med Libr 2010;7:85-89.Article
  • 25. Desai T, Shariff A, Dhingra V, Minhas D, Eure M, Kats M. Is content really king? An objective analysis of the public's response to medical videos on YouTube. PLoS One 2013;8:e82469.ArticlePubMedPMC
  • 26. Radonjic A, Fat Hing NN, Harlock J, Naji F. YouTube as a source of patient information for abdominal aortic aneurysms. J Vasc Surg 2020;71:637-644.ArticlePubMed
  • 27. Seitz L. Average daily time on YouTube [Internet]. Broadband Search.net: 2024 Apr 18 [cited 2025 Jan 22]. Available from: https://www.broadbandsearch.net/blog/average-daily-time-on-social-media
  • 28. Yagci F. Evaluation of YouTube as an information source for fixed prosthetic restorations [Sabit protetik restorasyonlar için bilgi kaynağı olarak YouTube’un değerlendirilmesi]. J Health Sci 2021;30:191-199.
  • 29. Pons-Fuster E, Ruiz Roca J, Tvarijonaviciute A, López-Jornet P. YouTube information about diabetes and oral healthcare. Odontology 2020;108:84-90.ArticlePubMedPDF
  • 30. Alkan Aygör F, Ekrikaya S. YouTube as an information resource on bruxism: cross-sectional content analysis [Bruksizm hakkında bilgi kaynağı olarak YouTube: kesitsel içerik analizi]. ADO Klinik Bilimler Derg 2023;12:242-250.
  • 31. Cokakoglu S, Cakir E. Youtube videos as a source of information on digital indirect bonding: s content analysis. Eur Oral Res 2023;57:138-143.ArticlePubMedPMC
  • 32. Yavuz MC, Buyuk SK, Genc E. Does YouTube offer high quality information? Evaluation of accelerated orthodontics videos. Ir J Med Sci 2020;189:505-509.ArticlePubMedPDF
  • 33. Özdal Zincir Ö, Bozkurt AP, Gaş S. Potential patient education of YouTube videos related to wisdom tooth surgical removal. J Craniofac Surg 2019;30:e481-e484.ArticlePubMed
  • 34. Erturk-Avunduk AT, Delikan E. Evaluation of the quality of YouTube videos about pit and fissure sealant applications. Int J Dent Hyg 2023;21:590-598.ArticlePubMed
  • 35. Meriç E. Evaluation of the content of Turkish YouTube videos on fissure sealants: methodological study [Fissür örtücüler ile ilgili Türkçe YouTube video içeriklerinin değerlendirilmesi: metodolojik çalişma]. Turkiye Klinikleri J Dent Sci 2023;29:559-565.
  • 36. Qi J, Trang T, Doong J, Kang S, Chien AL. Misinformation is prevalent in psoriasis-related YouTube videos. Dermatol Online J 2016;22:13030/qt7qc9z2m5.ArticlePubMed
  • 37. Osman W, Mohamed F, Elhassan M, Shoufan A. Is YouTube a reliable source of health-related information? A systematic review. BMC Med Educ 2022;22:382.ArticlePubMedPMCPDF

Tables & Figures

REFERENCES

    Citations

    Citations to this article as recorded by  

      • ePub LinkePub Link
      • Cite
        CITE
        export Copy Download
        Close
        Download Citation
        Download a citation file in RIS format that can be imported by all major citation management software, including EndNote, ProCite, RefWorks, and Reference Manager.

        Format:
        • RIS — For EndNote, ProCite, RefWorks, and most other reference management software
        • BibTeX — For JabRef, BibDesk, and other BibTeX-specific software
        Include:
        • Citation for the content below
        Is YouTube a reliable source for learning pre-endodontic build-up? A cross-sectional study
        Restor Dent Endod. 2025;50(3):e27  Published online July 24, 2025
        Close
      • XML DownloadXML Download
      Figure
      • 0
      Is YouTube a reliable source for learning pre-endodontic build-up? A cross-sectional study
      Image
      Figure 1. Scatter plot demonstrating the positive correlation between video views and likes.
      Is YouTube a reliable source for learning pre-endodontic build-up? A cross-sectional study
      Item Questions
      1 Are the aims clear and achieved?
      2 Are reliable sources of information used? (i.e., publication cited, speaker is specialist in diabetes)
      3 Is the information presented both balanced and unbiased?
      4 Are additional sources of information listed for patient reference?
      5 Are areas of uncertainty mentioned?
      Parameter Mean ± standard deviation Median (range)
      View 4,664.41 ± 7,925.93 1,500 (24–38,000)
      Duration (sec) 189.46 ± 169.50 136 (30–1,010)
      Like 55.90 ± 84.65 18 (0–424)
      Dislike 1.79 ± 5.04 0 (0–30)
      Comment 4.70 ± 6.57 2 (0–25)
      Global Quality Scale 2.43 ± 0.94 2 (1–4)
      Video timespan (day) 2,041.30 ± 1,270.92 1,826 (210–4,745)
      DISCERN 0.59 ± 0.82 0 (0–3)
      Interaction index 1.58 ± 1.19 1.5 (0–8.33)
      View rate 265.68 ± 390.59 98.57 (5.75–1,643)
      Global Quality Scale n (%)
      1. Poor quality, poor flow of the video, most information missing, not at all useful for patients 10 (16.4)
      2. Poor quality, poor flow of the video, most information missing, not at all useful for patients 24 (39.3)
      3. Moderate quality, suboptimal flow, some important information is adequately discussed but others poorly discussed, somewhat useful for patients 18 (29.5)
      4. Good quality and generally good flow. Most of the relevant information is listed, but some topics are not covered, useful for patients 9 (14.8)
      5. Excellent quality and flow; very useful for patients
      Total 61 (100)
      Variable Dentist Information websites Endodontist Dental clinic H p-value
      View 797 (24–14,000)a 7,254 (810–38,000)b 903.5 (140–6,400)a 7,000 (1,200–28,000)ab 18.219 <0.001*
      Duration (sec) 136 (30–557)a 307.50 (78–1,010)b 89 (58–649)a 154 (99–245)ab 19.222 <0.001*
      Like 4 (0–424)a 70 (4–239)b 18 (0–100)ab 120.5 (4–262)ab 10.661 0.014*
      Dislike 0 (0–3) 0 (0–20) (0–9) (0–30) 2.437 0.487
      Comment 1 (0–18)a 7 (0–24)b 1.5 (0–12)a 9.5 (0–25)ab 14.575 0.002*
      Video timespan (day) 1,826 (335–4,380) 2557 (365–4,745) 1,826 (210–4,745) 3,832.5 (730–4,745) 7.747 0.052
      Interaction index 1.14 (0–8.33)ab 1.02 (0.36–2.59)a 1.63 (0–3.4)b 0.66 (0.2–1.95)ab 8.159 0.043*
      View rate 109.17 (5.75–547.51)ab 424.65 (23.18–1,486)a 49.48 (12.78–1,571)b 500.52 (25.28–1,643)ab 9.941 0.019*
      Variable DISCERN
      U p-value
      0 1–3
      View 975 (141–12,000) 3,629.5 (24–38,000) 2.341 0.019*
      Duration (sec) 90 (30–1,010) 241 (48–649) 3.326 <0.001*
      Like 18 (0–200) 36 (0–424) 1.970 0.049*
      Dislike 0 (0–9) 0 (0–30) 1.129 0.259
      Comment 1 (0–24) 4.5 (0–25) 2.547 0.011*
      Global Quality Scale 2 (1–4) 3 (1–4) 2.896 0.004*
      Video timespan (day) 1,826 (730–4,745) 1,826 (210–4,745) 0.438 0.662
      Interaction index 1.56 (0–3.4) 1.32 (0–8.33) 1.036 0.300
      View rate 45.56 (19.31–780.82) 376.71 (5.75–1,643) 2.888 0.004*
      Parameter Endodontist Others U p-value
      Global Quality Scale 2 (1–4) 3 (1–4) 0.610 0.542
      DISCERN 0 (0–3) 1 (0–3) 3.090 0.002*
      Parameter View Duration (sec) Like Dislike Comment GQS Video timespan (day) DISCERN Interaction index View rate
      View
       r 1.000 0.525** 0.847** 0.460** 0.714** 0.268* 0.333** 0.299* –0.286* 0.846**
      p-value <0.001 <0.001 <0.001 <0.001 0.037 0.009 0.019 0.025 <0.001
       Number 61 61 61 61 61 61 61 61 61 61
      Duration (sec)
       r 0.525** 1.000 0.459** 0.267* 0.460** 0.417** 0.170 0.443** –0.159 0.431**
      p-value <0.001 <0.001 0.038 <0.001 <0.001 0.190 <0.001 0.222 <0.001
       Number 61 61 61 61 61 61 61 61 61 61
      Like
       r 0.847** 0.459** 1.000 0.534** 0.793** 0.300** 0.132 0.253* 0.158 0.811**
      p-value <0.001 <0.001 <0.001 <0.001 0.004 0.309 0.049 0.225 <0.001
       Number 61 61 61 61 61 61 61 61 61 61
      Dislike
       r 0.460** 0.267* 0.534** 1.000 0.488** 0.130 0.244 0.120 –0.088 0.397**
      p-value <0.001 0.038 <0.001 <0.001 0.319 0.058 0.358 0.501 0.002
       Number 61 61 61 61 61 61 61 61 61 61
      Comment
       r 0.714** 0.460** 0.793** 0.488** 1.000 0.289* –0.006 0.340** 0.030 0.768**
      p-value <0.001 <0.001 <0.001 <0.001 0.024 0.964 0.007 0.820 <0.001
       Number 61 61 61 61 61 61 61 61 61 61
      GQS
       r 0.268* 0.417** 0.359** 0.130 0.289* 1.000 0.137 0.435** 0.159 0.193
      p-value 0.037 <0.001 0.004 0.319 0.024 0.293 <0.001 0.221 0.137
       Number 61 61 61 61 61 61 61 61 61 61
      Video timespan (day)
       r 0.333** 0.170 0.132 0.244 –0.006 0.137 1.000 –0.066 –0.386** –0.131
      p-value 0.009 0.190 0.309 0.058 0.964 0.293 0.611 0.002 0.313
       Number 61 61 61 61 61 61 61 61 61 61
      DISCERN
       r 0.299* 0.443** 0.253* 0.120 0.340** 0.435** –0.066 1.000 –0.091 0.362**
      p-value 0.019 <0.001 0.049 0.358 0.007 <0.001 0.611 0.484 0.004
       Number 61 61 61 61 61 61 61 61 61 61
      Interaction index
       r –0.286* –0.159 0.158 –0.088 0.030 0.159 –0.386** –0.091 1.000 –0.125
      p-value 0.025 0.222 0.225 0.501 0.820 0.221 0.002 0.484 0.336
       Number 61 61 61 61 61 61 61 61 61 61
      View rate
       r 0.846** 0.431** 0.811** 0.397** 0.768** 0.193 –0.131 0.362** –0.125 1.000
      p-value <0.001 <0.001 <0.001 0.002 <0.001 0.137 0.313 0.004 0.336
       Number 61 61 61 61 61 61 61 61 61 61
      Table 1. The modified DISCERN score (1 point for every yes, 0 points for no)

      Table 2. Descriptive statistics of video viewership, duration, engagement, and quality parameters

      Table 3. Distribution of videos based on quality levels

      Table 4. Analysis of variables based on the video uploader

      Values are presented as median (range).

      The superscript letters represent the post-hoc results. Differences between different letters are significant.

      Kruskal-Wallis H Test;

      p < 0.05.

      Table 5. Comparison of video characteristics based on DISCERN score

      Values are presented as median (range).

      Mann-Whitney U test;

      p < 0.05.

      Table 6. Analysis of quality parameters of videos uploaded by endodontists and other groups

      Values are presented as median (range).

      Mann-Whitney U Test;

      p < 0.05.

      Table 7. Correlation analysis between parameters

      p < 0.05,

      p < 0.01.


      Restor Dent Endod : Restorative Dentistry & Endodontics
      Close layer
      TOP